πŸ’Ž IRR ΠΈ NPV для запуска Ρ‚ΠΎΠ²Π°Ρ€Π°: Π‘Ρ‡ΠΈΡ‚Π°Π΅ΠΌ Π²Π½ΡƒΡ‚Ρ€Π΅Π½Π½ΡŽΡŽ Π½ΠΎΡ€ΠΌΡƒ доходности ΠΊΠ°ΠΊ Π² Π²Π΅Π½Ρ‡ΡƒΡ€Π΅

Если Π²Ρ‹ Ρ‚ΠΎΡ€Π³ΡƒΠ΅Ρ‚Π΅ Π½Π° маркСтплСйсС Π²Ρ€ΠΎΠ΄Π΅ Wildberries, запуск Π½ΠΎΠ²ΠΎΠ³ΠΎ Ρ‚ΠΎΠ²Π°Ρ€Π° β€” это всСгда инвСстиция. Π’Ρ‹ Π·Π°ΠΊΡƒΠΏΠ°Π΅Ρ‚Π΅ ΠΏΠ°Ρ€Ρ‚ΠΈΡŽ, ΠΎΠΏΠ»Π°Ρ‡ΠΈΠ²Π°Π΅Ρ‚Π΅ доставку, Π²ΠΊΠ»Π°Π΄Ρ‹Π²Π°Π΅Ρ‚Π΅ΡΡŒ Π² Ρ„ΠΎΡ‚ΠΎ, SEO, Ρ€Π΅ΠΊΠ»Π°ΠΌΡƒ, ΠΏΡ€ΠΎΠ΄Π²ΠΈΠΆΠ΅Π½ΠΈΠ΅. А Π·Π½Π°Ρ‡ΠΈΡ‚, ΠΏΠ΅Ρ€Π΅Π΄ Π²Π°ΠΌΠΈ классичСская инвСстиционная Π·Π°Π΄Π°Ρ‡Π°: Π²Π»ΠΎΠΆΠΈΡ‚ΡŒ ΠΊΠ°ΠΏΠΈΡ‚Π°Π» ΠΈ ΠΏΠΎΠ½ΡΡ‚ΡŒ β€” окупится Π»ΠΈ ΠΏΡ€ΠΎΠ΅ΠΊΡ‚ ΠΈ ΠΊΠΎΠ³Π΄Π°.

Π’ Ρ‚Ρ€Π°Π΄ΠΈΡ†ΠΈΠΎΠ½Π½ΠΎΠΌ бизнСсС для этого ΠΈΡΠΏΠΎΠ»ΡŒΠ·ΡƒΡŽΡ‚ Π΄Π²Π° ΠΌΠΎΡ‰Π½Ρ‹Ρ… инструмСнта β€” NPV (Net Present Value) ΠΈ IRR (Internal Rate of Return). Π­Ρ‚ΠΈ ΠΏΠΎΠΊΠ°Π·Π°Ρ‚Π΅Π»ΠΈ ΠΏΠΎΠ·Π²ΠΎΠ»ΡΡŽΡ‚ ΠΎΡ†Π΅Π½ΠΈΡ‚ΡŒ ΠΏΡ€ΠΈΠ±Ρ‹Π»ΡŒΠ½ΠΎΡΡ‚ΡŒ Π²Π»ΠΎΠΆΠ΅Π½ΠΈΠΉ с ΡƒΡ‡Ρ‘Ρ‚ΠΎΠΌ Π²Ρ€Π΅ΠΌΠ΅Π½ΠΈ, Π° Π½Π΅ просто ΠΏΠΎ Β«ΠΏΡ€ΠΈΠ±Ρ‹Π»ΠΈ Π½Π° Π³Π»Π°Π·Β».

ΠŸΡ€ΠΎΠΉΠ΄ΠΈΡ‚Π΅ наш авторский курс ΠΏΠΎ Π²Ρ‹Π±ΠΎΡ€Ρƒ Π°ΠΊΡ†ΠΈΠΉ Π½Π° Ρ„ΠΎΠ½Π΄ΠΎΠ²ΠΎΠΌ Ρ€Ρ‹Π½ΠΊΠ΅ β†’ ΠΎΠ±ΡƒΡ‡Π°ΡŽΡ‰ΠΈΠΉ курс

БСсплатный ЭкспрСсс-курс "ΠžΡ†Π΅Π½ΠΊΠ° инвСстиционных ΠΏΡ€ΠΎΠ΅ΠΊΡ‚ΠΎΠ² с нуля Π² Excel" ΠΎΡ‚ Π–Π΄Π°Π½ΠΎΠ²Ρ‹Ρ…. ΠŸΠΎΠ»ΡƒΡ‡ΠΈΡ‚ΡŒ доступ

Π Π°Π·Π±Π΅Ρ€Ρ‘ΠΌ, ΠΊΠ°ΠΊ ΠΎΠ½ΠΈ ΠΏΡ€ΠΈΠΌΠ΅Π½ΡΡŽΡ‚ΡΡ Π² контСкстС маркСтплСйсов, ΠΈ ΠΊΠ°ΠΊ сСллСру ΡΡ‡ΠΈΡ‚Π°Ρ‚ΡŒ эти ΠΌΠ΅Ρ‚Ρ€ΠΈΠΊΠΈ Π±Π΅Π· финансового образования.

Пока Π½Π΅ Π·Π°Π±Ρ‹Π»ΠΈ! ΠŸΡ€ΠΎΡ‚Π΅ΡΡ‚ΠΈΡ€ΡƒΠΉΡ‚Π΅ наш бСсплатный Telegram-Π±ΠΎΡ‚ для финансовой Π°Π½Π°Π»ΠΈΡ‚ΠΈΠΊΠΈ Π½Π° Wildberries β€” WBPilot

Π‘ΠΎΠ΄Π΅Ρ€ΠΆΠ°Π½ΠΈΠ΅
  1. Π§Ρ‚ΠΎ Ρ‚Π°ΠΊΠΎΠ΅ NPV ΠΈ Π·Π°Ρ‡Π΅ΠΌ ΠΎΠ½ Π½ΡƒΠΆΠ΅Π½
  2. Π§Ρ‚ΠΎ Ρ‚Π°ΠΊΠΎΠ΅ IRR ΠΈ ΠΊΠ°ΠΊ ΠΎΠ½ связан с NPV
  3. Π¨Π°Π³ 1. ΠžΠΏΡ€Π΅Π΄Π΅Π»ΠΈΡ‚Π΅ инвСстиции
  4. Π¨Π°Π³ 2. ΠŸΡ€ΠΎΠ³Π½ΠΎΠ·ΠΈΡ€ΡƒΠΉΡ‚Π΅ мСсячныС Π΄Π΅Π½Π΅ΠΆΠ½Ρ‹Π΅ ΠΏΠΎΡ‚ΠΎΠΊΠΈ
  5. Π¨Π°Π³ 3. РассчитайтС NPV
  6. Π¨Π°Π³ 4. РассчитайтС IRR
  7. ΠŸΡ€ΠΈ этих ΠΆΠ΅ ΠΏΠΎΡ‚ΠΎΠΊΠ°Ρ… IRR β‰ˆ 42 % Π³ΠΎΠ΄ΠΎΠ²Ρ‹Ρ….
  8. Π­Ρ‚ΠΎ Π·Π½Π°Ρ‡ΠΈΡ‚, Ρ‡Ρ‚ΠΎ Ссли ваши дСньги ΠΌΠΎΠ³Π»ΠΈ ΠΏΡ€ΠΈΠ½ΠΎΡΠΈΡ‚ΡŒ мСньшС 42 % Π³ΠΎΠ΄ΠΎΠ²Ρ‹Ρ… Π³Π΄Π΅-Ρ‚ΠΎ Π΅Ρ‰Π΅ β€” Π²Ρ‹Π³ΠΎΠ΄Π½Π΅Π΅ Π·Π°ΠΏΡƒΡΡ‚ΠΈΡ‚ΡŒ этот Ρ‚ΠΎΠ²Π°Ρ€.
  9. ΠŸΠΎΡ‡Π΅ΠΌΡƒ IRR особСнно ΠΏΠΎΠ»Π΅Π·Π΅Π½ Π½Π° маркСтплСйсах
  10. Ошибки ΠΏΡ€ΠΈ расчётах
  11. Как ΠΈΠ½Ρ‚Π΅Ρ€ΠΏΡ€Π΅Ρ‚ΠΈΡ€ΠΎΠ²Π°Ρ‚ΡŒ Ρ€Π΅Π·ΡƒΠ»ΡŒΡ‚Π°Ρ‚Ρ‹
  12. Как ΠΈΡΠΏΠΎΠ»ΡŒΠ·ΠΎΠ²Π°Ρ‚ΡŒ NPV ΠΈ IRR Π² стратСгии
  13. Π˜Π½ΡΡ‚Ρ€ΡƒΠΌΠ΅Π½Ρ‚Ρ‹ для Π°Π²Ρ‚ΠΎΠΌΠ°Ρ‚ΠΈΠ·Π°Ρ†ΠΈΠΈ
  14. ΠŸΠΎΡ‡Π΅ΠΌΡƒ стоит ΠΌΡ‹ΡΠ»ΠΈΡ‚ΡŒ ΠΊΠ°ΠΊ инвСстор
  15. πŸ’¬ Π’Ρ‹Π²ΠΎΠ΄Ρ‹

Π§Ρ‚ΠΎ Ρ‚Π°ΠΊΠΎΠ΅ NPV ΠΈ Π·Π°Ρ‡Π΅ΠΌ ΠΎΠ½ Π½ΡƒΠΆΠ΅Π½

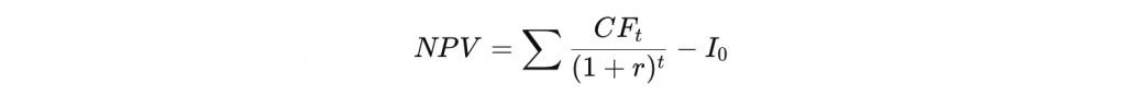
NPV (чистая привСдСнная ΡΡ‚ΠΎΠΈΠΌΠΎΡΡ‚ΡŒ) β€” это Ρ€Π°Π·Π½ΠΈΡ†Π° ΠΌΠ΅ΠΆΠ΄Ρƒ всСми Π±ΡƒΠ΄ΡƒΡ‰ΠΈΠΌΠΈ Π΄Π΅Π½Π΅ΠΆΠ½Ρ‹ΠΌΠΈ ΠΏΡ€ΠΈΡ‚ΠΎΠΊΠ°ΠΌΠΈ ΠΈ ΠΎΡ‚Ρ‚ΠΎΠΊΠ°ΠΌΠΈ, ΠΏΡ€ΠΈΠ²Π΅Π΄Π΅Π½Π½Ρ‹ΠΌΠΈ ΠΊ Ρ‚Π΅ΠΊΡƒΡ‰Π΅ΠΌΡƒ ΠΌΠΎΠΌΠ΅Π½Ρ‚Ρƒ.

ΠŸΡ€ΠΎΡ‰Π΅ говоря, Ссли Π²Ρ‹ инвСстируСтС 300 000 β‚½ Π² Π½ΠΎΠ²Ρ‹ΠΉ Ρ‚ΠΎΠ²Π°Ρ€, Π° ΠΎΠ½ Ρ‡Π΅Ρ€Π΅Π· 6 мСсяцСв принСсёт Π²Π°ΠΌ 400 000 β‚½ ΠΏΡ€ΠΈΠ±Ρ‹Π»ΠΈ, Ρ‚ΠΎ NPV ΠΏΠΎΠΊΠ°ΠΆΠ΅Ρ‚, сколько Π²Ρ‹ Ρ€Π΅Π°Π»ΡŒΠ½ΠΎ Π·Π°Ρ€Π°Π±ΠΎΡ‚Π°Π»ΠΈ, учитывая врСмя ΠΈ Π°Π»ΡŒΡ‚Π΅Ρ€Π½Π°Ρ‚ΠΈΠ²Π½Ρ‹Π΅ ΠΈΠ·Π΄Π΅Ρ€ΠΆΠΊΠΈ.

Π€ΠΎΡ€ΠΌΡƒΠ»Π° выглядит Ρ‚Π°ΠΊ:

Π³Π΄Π΅:

  • CFt β€” Π΄Π΅Π½Π΅ΠΆΠ½Ρ‹ΠΉ ΠΏΠΎΡ‚ΠΎΠΊ Π² t-ΠΉ мСсяц,
  • r β€” ставка дисконтирования (ΡΡ‚ΠΎΠΈΠΌΠΎΡΡ‚ΡŒ Π΄Π΅Π½Π΅Π³ Π²ΠΎ Π²Ρ€Π΅ΠΌΠ΅Π½ΠΈ, ΠΎΠ±Ρ‹Ρ‡Π½ΠΎ ΠΎΡ‚ 15 % Π΄ΠΎ 30 % Π³ΠΎΠ΄ΠΎΠ²Ρ‹Ρ…),
  • Iβ‚€ β€” ΠΏΠ΅Ρ€Π²ΠΎΠ½Π°Ρ‡Π°Π»ΡŒΠ½Ρ‹Π΅ инвСстиции,
  • t β€” Π½ΠΎΠΌΠ΅Ρ€ мСсяца ΠΈΠ»ΠΈ ΠΏΠ΅Ρ€ΠΈΠΎΠ΄Π°.

Если NPV > 0, ΠΏΡ€ΠΎΠ΅ΠΊΡ‚ Π²Ρ‹Π³ΠΎΠ΄Π΅Π½.

Если NPV < 0, Π·Π½Π°Ρ‡ΠΈΡ‚, Ρ‚ΠΎΠ²Π°Ρ€ Π½Π΅ окупится ΠΏΡ€ΠΈ Π·Π°Π΄Π°Π½Π½ΠΎΠΉ доходности.

ΠžΡ†Π΅Π½ΠΊΠ° стоимости бизнСса Ѐинансовый Π°Π½Π°Π»ΠΈΠ· ΠΏΠΎ МБЀО Ѐинансовый Π°Π½Π°Π»ΠΈΠ· ΠΏΠΎ Π Π‘Π‘Π£
РасчСт NPV, IRR Π² Excel ΠžΡ†Π΅Π½ΠΊΠ° Π°ΠΊΡ†ΠΈΠΉ ΠΈ ΠΎΠ±Π»ΠΈΠ³Π°Ρ†ΠΈΠΉ

Π§Ρ‚ΠΎ Ρ‚Π°ΠΊΠΎΠ΅ IRR ΠΈ ΠΊΠ°ΠΊ ΠΎΠ½ связан с NPV

IRR (внутрСнняя Π½ΠΎΡ€ΠΌΠ° доходности) β€” это ставка доходности, ΠΏΡ€ΠΈ ΠΊΠΎΡ‚ΠΎΡ€ΠΎΠΉ NPV = 0. Π˜Π½Ρ‹ΠΌΠΈ словами, это максимальная ΡΡ‚ΠΎΠΈΠΌΠΎΡΡ‚ΡŒ Π΄Π΅Π½Π΅Π³, ΠΏΡ€ΠΈ ΠΊΠΎΡ‚ΠΎΡ€ΠΎΠΉ ΠΏΡ€ΠΎΠ΅ΠΊΡ‚ Π΅Ρ‰Π΅ остаСтся Π²Ρ‹Π³ΠΎΠ΄Π½Ρ‹ΠΌ.

Если IRR вашСго Ρ‚ΠΎΠ²Π°Ρ€Π° β€” 60 %, Π° срСдняя Π°Π»ΡŒΡ‚Π΅Ρ€Π½Π°Ρ‚ΠΈΠ²Π° Π½Π° Ρ€Ρ‹Π½ΠΊΠ΅ (Π΄Π΅ΠΏΠΎΠ·ΠΈΡ‚, Π΄Ρ€ΡƒΠ³ΠΎΠΉ Ρ‚ΠΎΠ²Π°Ρ€, Ρ„Ρ€Π°Π½ΡˆΠΈΠ·Π°) Π΄Π°Π΅Ρ‚ 30 %, Ρ‚ΠΎ запуск выглядит ΠΎΡ‡Π΅Π½ΡŒ пСрспСктивно.

Π€ΠΎΡ€ΠΌΠ°Π»ΡŒΠ½ΠΎ IRR β€” это Ρ‚Π°ΠΊΠΎΠ΅ r, ΠΏΡ€ΠΈ ΠΊΠΎΡ‚ΠΎΡ€ΠΎΠΌ:

Как сСллСру ΠΏΡ€ΠΈΠΌΠ΅Π½ΠΈΡ‚ΡŒ эти ΠΌΠ΅Ρ‚Ρ€ΠΈΠΊΠΈ Π½Π° ΠΏΡ€Π°ΠΊΡ‚ΠΈΠΊΠ΅

Π§Ρ‚ΠΎΠ±Ρ‹ ΠΏΠΎΡΡ‡ΠΈΡ‚Π°Ρ‚ΡŒ NPV ΠΈ IRR, Π½Π΅ Π½ΡƒΠΆΠ½ΠΎ Π±Ρ‹Ρ‚ΡŒ финансистом β€” достаточно Ρ‚Π°Π±Π»ΠΈΡ†Ρ‹ Excel ΠΈΠ»ΠΈ любого финансового ΠΊΠ°Π»ΡŒΠΊΡƒΠ»ΡΡ‚ΠΎΡ€Π°.

Π¨Π°Π³ 1. ΠžΠΏΡ€Π΅Π΄Π΅Π»ΠΈΡ‚Π΅ инвСстиции

Бюда входят:

  • Π·Π°ΠΊΡƒΠΏΠΊΠ° Ρ‚ΠΎΠ²Π°Ρ€Π° (Π½Π°ΠΏΡ€ΠΈΠΌΠ΅Ρ€, 250 000 β‚½),
  • доставка ΠΈ логистика (20 000 β‚½),
  • ΡƒΠΏΠ°ΠΊΠΎΠ²ΠΊΠ°, ΠΊΠ°Ρ€Ρ‚ΠΎΡ‡ΠΊΠ°, Ρ„ΠΎΡ‚ΠΎ, Ρ€Π΅ΠΊΠ»Π°ΠΌΠ° (30 000 β‚½).

Π˜Ρ‚ΠΎΠ³ΠΎ: 300 000 β‚½.

Π¨Π°Π³ 2. ΠŸΡ€ΠΎΠ³Π½ΠΎΠ·ΠΈΡ€ΡƒΠΉΡ‚Π΅ мСсячныС Π΄Π΅Π½Π΅ΠΆΠ½Ρ‹Π΅ ΠΏΠΎΡ‚ΠΎΠΊΠΈ

Допустим, Π²Ρ‹ ΠΎΠΆΠΈΠ΄Π°Π΅Ρ‚Π΅, Ρ‡Ρ‚ΠΎ Π·Π° ΠΏΠ΅Ρ€Π²Ρ‹Π΅ 6 мСсяцСв ΠΏΠΎΠ»ΡƒΡ‡ΠΈΡ‚Π΅:

  • 1 мСсяц: –300 000 β‚½ (инвСстиции),
  • 2 мСсяц: +80 000 β‚½,
  • 3 мСсяц: +90 000 β‚½,
  • 4 мСсяц: +100 000 β‚½,
  • 5 мСсяц: +90 000 β‚½,
  • 6 мСсяц: +60 000 β‚½.

Π¨Π°Π³ 3. РассчитайтС NPV

Если ставка дисконтирования β€” 2 % Π² мСсяц (β‰ˆ24 % Π³ΠΎΠ΄ΠΎΠ²Ρ‹Ρ…), Ρ‚ΠΎ:

NPV = (80 000 / 1.02ΒΉ) + (90 000 / 1.02Β²) + (100 000 / 1.02Β³) + (90 000 / 1.02⁴) + (60 000 / 1.02⁡) – 300 000

Β β‰ˆ +69 000 β‚½.

Π’ΠΎ Π΅ΡΡ‚ΡŒ, ΠΏΡ€ΠΎΠ΅ΠΊΡ‚ Π²Ρ‹Π³ΠΎΠ΄Π΅Π½: ΠΎΠ½ Π½Π΅ просто окупился, Π½ΠΎ ΠΈ принСс эквивалСнт +69 000 β‚½ Π² Ρ†Π΅Π½Π°Ρ… «сСгодня».

Π¨Π°Π³ 4. РассчитайтС IRR

ΠŸΡ€ΠΈ этих ΠΆΠ΅ ΠΏΠΎΡ‚ΠΎΠΊΠ°Ρ… IRR β‰ˆ 42 % Π³ΠΎΠ΄ΠΎΠ²Ρ‹Ρ….

Π­Ρ‚ΠΎ Π·Π½Π°Ρ‡ΠΈΡ‚, Ρ‡Ρ‚ΠΎ Ссли ваши дСньги ΠΌΠΎΠ³Π»ΠΈ ΠΏΡ€ΠΈΠ½ΠΎΡΠΈΡ‚ΡŒ мСньшС 42 % Π³ΠΎΠ΄ΠΎΠ²Ρ‹Ρ… Π³Π΄Π΅-Ρ‚ΠΎ Π΅Ρ‰Π΅ β€” Π²Ρ‹Π³ΠΎΠ΄Π½Π΅Π΅ Π·Π°ΠΏΡƒΡΡ‚ΠΈΡ‚ΡŒ этот Ρ‚ΠΎΠ²Π°Ρ€.

ΠŸΠ΅Ρ€Π²Ρ‹ΠΉ ΠΎΡ‚ΠΊΡ€Ρ‹Ρ‚Ρ‹ΠΉ бСсплатный Π‘ΠΎΡ‚ WBPilot, Ρ€Π°Π·Ρ€Π°Π±ΠΎΡ‚Π°Π½Π½Ρ‹ΠΉ Π½Π°ΠΌΠΈ для сСллСра Π½Π° WB: https://t.me/wbpilot_bot

ΠŸΠΎΡ‡Π΅ΠΌΡƒ IRR особСнно ΠΏΠΎΠ»Π΅Π·Π΅Π½ Π½Π° маркСтплСйсах

ΠŸΡ€ΠΎΠΉΠ΄ΠΈΡ‚Π΅ наш авторский курс ΠΏΠΎ Π²Ρ‹Π±ΠΎΡ€Ρƒ Π°ΠΊΡ†ΠΈΠΉ Π½Π° Ρ„ΠΎΠ½Π΄ΠΎΠ²ΠΎΠΌ Ρ€Ρ‹Π½ΠΊΠ΅ β†’ ΠΎΠ±ΡƒΡ‡Π°ΡŽΡ‰ΠΈΠΉ курс

БСсплатный ЭкспрСсс-курс "ΠžΡ†Π΅Π½ΠΊΠ° инвСстиционных ΠΏΡ€ΠΎΠ΅ΠΊΡ‚ΠΎΠ² с нуля Π² Excel" ΠΎΡ‚ Π–Π΄Π°Π½ΠΎΠ²Ρ‹Ρ…. ΠŸΠΎΠ»ΡƒΡ‡ΠΈΡ‚ΡŒ доступ

На Wildberries Ρƒ сСллСра часто дСсятки SKU. НСкоторыС Ρ‚ΠΎΠ²Π°Ρ€Ρ‹ Ρ‚Ρ€Π΅Π±ΡƒΡŽΡ‚ Π±ΠΎΠ»ΡŒΡˆΠΈΡ… Π²Π»ΠΎΠΆΠ΅Π½ΠΈΠΉ, Π΄Ρ€ΡƒΠ³ΠΈΠ΅ β€” мСньшС. IRR позволяСт ΡΡ€Π°Π²Π½ΠΈΡ‚ΡŒ ΡΡ„Ρ„Π΅ΠΊΡ‚ΠΈΠ²Π½ΠΎΡΡ‚ΡŒ Ρ€Π°Π·Π½Ρ‹Ρ… Ρ‚ΠΎΠ²Π°Ρ€ΠΎΠ², Π΄Π°ΠΆΠ΅ Ссли суммы инвСстиций Ρ€Π°Π·Π½Ρ‹Π΅.

НапримСр:

  • Π’ΠΎΠ²Π°Ρ€ А Ρ‚Ρ€Π΅Π±ΡƒΠ΅Ρ‚ 200 000 β‚½ ΠΈ Π΄Π°Ρ‘Ρ‚ IRR 50 %.
  • Π’ΠΎΠ²Π°Ρ€ B Ρ‚Ρ€Π΅Π±ΡƒΠ΅Ρ‚ 500 000 β‚½ ΠΈ Π΄Π°Ρ‘Ρ‚ IRR 35 %.

Π Π°Ρ†ΠΈΠΎΠ½Π°Π»ΡŒΠ½Ρ‹ΠΉ сСллСр Π²Ρ‹Π±Π΅Ρ€Π΅Ρ‚ А, Ссли Ρ†Π΅Π»ΡŒ β€” быстрая ΠΎΠ±ΠΎΡ€Π°Ρ‡ΠΈΠ²Π°Π΅ΠΌΠΎΡΡ‚ΡŒ ΠΈ рост.

IRR особСнно Ρ†Π΅Π½Π΅Π½, ΠΊΠΎΠ³Π΄Π° Π²Ρ‹ Ρ€Π΅ΡˆΠ°Π΅Ρ‚Π΅, Π²ΠΎ Ρ‡Ρ‚ΠΎ Ρ€Π΅ΠΈΠ½Π²Π΅ΡΡ‚ΠΈΡ€ΠΎΠ²Π°Ρ‚ΡŒ ΠΏΡ€ΠΈΠ±Ρ‹Π»ΡŒ β€” Π² ΡΡ‚Π°Ρ€ΡƒΡŽ Π»ΠΈΠ½Π΅ΠΉΠΊΡƒ ΠΈΠ»ΠΈ Π² Π½ΠΎΠ²Ρ‹ΠΉ ΠΏΡ€ΠΎΠ΄ΡƒΠΊΡ‚.

Ошибки ΠΏΡ€ΠΈ расчётах

ΠŸΡ€ΠΎΠΉΠ΄ΠΈΡ‚Π΅ наш авторский курс ΠΏΠΎ Π²Ρ‹Π±ΠΎΡ€Ρƒ Π°ΠΊΡ†ΠΈΠΉ Π½Π° Ρ„ΠΎΠ½Π΄ΠΎΠ²ΠΎΠΌ Ρ€Ρ‹Π½ΠΊΠ΅ β†’ ΠΎΠ±ΡƒΡ‡Π°ΡŽΡ‰ΠΈΠΉ курс

БСсплатный ЭкспрСсс-курс "ΠžΡ†Π΅Π½ΠΊΠ° инвСстиционных ΠΏΡ€ΠΎΠ΅ΠΊΡ‚ΠΎΠ² с нуля Π² Excel" ΠΎΡ‚ Π–Π΄Π°Π½ΠΎΠ²Ρ‹Ρ…. ΠŸΠΎΠ»ΡƒΡ‡ΠΈΡ‚ΡŒ доступ

МногиС сСллСры ΡΠΎΠ²Π΅Ρ€ΡˆΠ°ΡŽΡ‚ Ρ‚ΠΈΠΏΠΈΡ‡Π½Ρ‹Π΅ ошибки:

  1. НС ΡƒΡ‡ΠΈΡ‚Ρ‹Π²Π°ΡŽΡ‚ врСмя. Π‘Ρ‡ΠΈΡ‚Π°Ρ‚ΡŒ ROI Π±Π΅Π· ΡƒΡ‡Π΅Ρ‚Π° сроков β€” грубая ошибка. 100 % ΠΏΡ€ΠΈΠ±Ρ‹Π»ΠΈ Π·Π° 12 мСсяцСв β€” это Π½Π΅ Ρ‚ΠΎ ΠΆΠ΅ самоС, Ρ‡Ρ‚ΠΎ 100 % Π·Π° 2 мСсяца.
  2. НС Π²ΠΊΠ»ΡŽΡ‡Π°ΡŽΡ‚ скрытыС расходы. Комиссии WB, доставка, Ρ…Ρ€Π°Π½Π΅Π½ΠΈΠ΅, Π²ΠΎΠ·Π²Ρ€Π°Ρ‚Ρ‹, Π½Π°Π»ΠΎΠ³ΠΈ β€” всё это Β«ΡΡŠΠ΅Π΄Π°Π΅Ρ‚Β» IRR.
  3. НС ΠΊΠΎΡ€Ρ€Π΅ΠΊΡ‚ΠΈΡ€ΡƒΡŽΡ‚ ΠΏΡ€ΠΎΠ³Π½ΠΎΠ·Ρ‹. ЀинансовыС ΠΌΠΎΠ΄Π΅Π»ΠΈ Π½ΡƒΠΆΠ½ΠΎ ΠΎΠ±Π½ΠΎΠ²Π»ΡΡ‚ΡŒ ΠΊΠ°ΠΆΠ΄Ρ‹ΠΉ мСсяц ΠΏΠΎ Ρ„Π°ΠΊΡ‚Ρƒ ΠΏΡ€ΠΎΠ΄Π°ΠΆ, ΠΈΠ½Π°Ρ‡Π΅ Ρ€Π΅Π°Π»ΡŒΠ½Ρ‹ΠΉ IRR Π±ΡƒΠ΄Π΅Ρ‚ ΠΎΡ‚Π»ΠΈΡ‡Π°Ρ‚ΡŒΡΡ ΠΎΡ‚ расчётного.
  4. Π—Π°Π±Ρ‹Π²Π°ΡŽΡ‚ ΠΎ ΠΏΠΎΠ²Ρ‚ΠΎΡ€Π½Ρ‹Ρ… Π·Π°ΠΊΡƒΠΏΠΊΠ°Ρ…. Если Π²Ρ‹ рСинвСстируСтС ΠΏΡ€ΠΈΠ±Ρ‹Π»ΡŒ Π² ΡΠ»Π΅Π΄ΡƒΡŽΡ‰ΡƒΡŽ ΠΏΠ°Ρ€Ρ‚ΠΈΡŽ β€” это Π½Π΅ Π½ΠΎΠ²Ρ‹ΠΉ ΠΏΡ€ΠΎΠ΅ΠΊΡ‚, Π° ΠΏΡ€ΠΎΠ΄ΠΎΠ»ΠΆΠ΅Π½ΠΈΠ΅ Ρ‚ΠΎΠ³ΠΎ ΠΆΠ΅ Ρ†ΠΈΠΊΠ»Π°.

Как ΠΈΠ½Ρ‚Π΅Ρ€ΠΏΡ€Π΅Ρ‚ΠΈΡ€ΠΎΠ²Π°Ρ‚ΡŒ Ρ€Π΅Π·ΡƒΠ»ΡŒΡ‚Π°Ρ‚Ρ‹

Π§Ρ‚ΠΎΠ±Ρ‹ Ρ€Π΅ΡˆΠ΅Π½ΠΈΠ΅ Π±Ρ‹Π»ΠΎ осознанным, Π²Π°ΠΆΠ½ΠΎ ΠΏΠΎΠ½ΠΈΠΌΠ°Ρ‚ΡŒ, Ρ‡Ρ‚ΠΎ Ρ†ΠΈΡ„Ρ€Ρ‹ сами ΠΏΠΎ сСбС ΠΌΠ°Π»ΠΎ Ρ‡Ρ‚ΠΎ Π·Π½Π°Ρ‡Π°Ρ‚.

Π’ΠΎΡ‚ ΠΎΡ€ΠΈΠ΅Π½Ρ‚ΠΈΡ€Ρ‹:

Аналогично, NPV > 0 β€” сигнал ΠΊ запуску, NPV < 0 β€” сигнал ΠΎΡΡ‚Π°Π½ΠΎΠ²ΠΈΡ‚ΡŒΡΡ.

Как ΠΈΡΠΏΠΎΠ»ΡŒΠ·ΠΎΠ²Π°Ρ‚ΡŒ NPV ΠΈ IRR Π² стратСгии

ΠŸΡ€ΠΎΠ΄Π²ΠΈΠ½ΡƒΡ‚Ρ‹Π΅ сСллСры ΠΏΡ€ΠΈΠΌΠ΅Π½ΡΡŽΡ‚ эти ΠΌΠ΅Ρ‚Ρ€ΠΈΠΊΠΈ Π½Π΅ Ρ‚ΠΎΠ»ΡŒΠΊΠΎ для ΠΎΠ΄Π½ΠΎΠ³ΠΎ Ρ‚ΠΎΠ²Π°Ρ€Π°, Π½ΠΎ ΠΈ для управлСния всСм ΠΏΠΎΡ€Ρ‚Ρ„Π΅Π»Π΅ΠΌ.

πŸ“Œ ΠŸΡ€ΠΈΠΌΠ΅Ρ€:

  • Π£ вас 5 Ρ‚ΠΎΠ²Π°Ρ€ΠΎΠ².
  • Π”Π²Π° приносят IRR Π²Ρ‹ΡˆΠ΅ 50 %, Ρ‚Ρ€ΠΈ β€” ΠΎΠΊΠΎΠ»ΠΎ 20 %.
    РСшСниС: ΠΏΠ΅Ρ€Π΅Ρ€Π°ΡΠΏΡ€Π΅Π΄Π΅Π»ΠΈΡ‚ΡŒ Ρ€Π΅ΠΊΠ»Π°ΠΌΠ½Ρ‹ΠΉ Π±ΡŽΠ΄ΠΆΠ΅Ρ‚ Π² ΠΏΠΎΠ»ΡŒΠ·Ρƒ самых Π΄ΠΎΡ…ΠΎΠ΄Π½Ρ‹Ρ….

πŸ“Œ Π”Ρ€ΡƒΠ³ΠΎΠΉ Π²Π°Ρ€ΠΈΠ°Π½Ρ‚:

Если IRR ΠΏΠ°Π΄Π°Π΅Ρ‚ ΠΈΠ·-Π·Π° роста сСбСстоимости ΠΈΠ»ΠΈ комиссии WB, стоит ΠΏΠ΅Ρ€Π΅ΡΠΌΠΎΡ‚Ρ€Π΅Ρ‚ΡŒ Ρ†Π΅Π½Ρ‹ ΠΈΠ»ΠΈ модСль Π·Π°ΠΊΡƒΠΏΠΊΠΈ.

Π’Π°ΠΊΠΈΠΌ ΠΎΠ±Ρ€Π°Π·ΠΎΠΌ, IRR ΠΈ NPV β€” это инструмСнты стратСгичСского управлСния ассортимСнтом, Π° Π½Π΅ просто «финансовая ΠΌΠ°Ρ‚Π΅ΠΌΠ°Ρ‚ΠΈΠΊΠ°Β».

Π˜Π½ΡΡ‚Ρ€ΡƒΠΌΠ΅Π½Ρ‚Ρ‹ для Π°Π²Ρ‚ΠΎΠΌΠ°Ρ‚ΠΈΠ·Π°Ρ†ΠΈΠΈ

Π’Ρ€ΡƒΡ‡Π½ΡƒΡŽ ΡΡ‡ΠΈΡ‚Π°Ρ‚ΡŒ NPV/IRR β€” Π΄ΠΎΠ»Π³ΠΎ ΠΈ Π½Π΅ΡƒΠ΄ΠΎΠ±Π½ΠΎ.

МоТно ΠΈΡΠΏΠΎΠ»ΡŒΠ·ΠΎΠ²Π°Ρ‚ΡŒ:

  • Excel / Google Sheets β€” Ρ„ΡƒΠ½ΠΊΡ†ΠΈΠΈ =NPV() ΠΈ =IRR();
  • WB Pilot, Moneyplace, MPStats Pro β€” Π΄Π°ΡŽΡ‚ Π³ΠΎΡ‚ΠΎΠ²ΡƒΡŽ Π°Π½Π°Π»ΠΈΡ‚ΠΈΠΊΡƒ ΠΎΠ± оборачиваСмости ΠΈ ΠΏΡ€ΠΈΠ±Ρ‹Π»ΠΈ;
  • собствСнныС Π΄Π°ΡˆΠ±ΠΎΡ€Π΄Ρ‹ с ΠΈΠ½Ρ‚Π΅Π³Ρ€Π°Ρ†ΠΈΠ΅ΠΉ Π΄Π°Π½Π½Ρ‹Ρ… ΠΎ ΠΏΡ€ΠΎΠ΄Π°ΠΆΠ°Ρ… ΠΈ расходах.

ΠŸΠΎΡ‡Π΅ΠΌΡƒ стоит ΠΌΡ‹ΡΠ»ΠΈΡ‚ΡŒ ΠΊΠ°ΠΊ инвСстор

Π‘Π΅Π»Π»Π΅Ρ€ Π½Π° маркСтплСйсС β€” это Π½Π΅ просто Β«ΠΏΡ€ΠΎΠ΄Π°Π²Π΅Ρ†Β», Π° инвСстор Π² ассортимСнт.

ΠšΠ°ΠΆΠ΄Ρ‹ΠΉ SKU β€” ΠΌΠΈΠ½ΠΈ-ΠΏΡ€ΠΎΠ΅ΠΊΡ‚ со своим сроком ΠΆΠΈΠ·Π½ΠΈ, ΠΊΠ°ΠΏΠΈΡ‚Π°Π»ΠΎΠΌ ΠΈ рисками.

NPV ΠΈ IRR ΠΏΠΎΠ·Π²ΠΎΠ»ΡΡŽΡ‚ ΠΈΠ·ΠΌΠ΅Ρ€ΡΡ‚ΡŒ Π½Π΅ эмоциями («всС ΠΏΠΎΠΊΡƒΠΏΠ°ΡŽΡ‚Β»), Π° Ρ„Π°ΠΊΡ‚Π°ΠΌΠΈ β€” какая Π½ΠΎΠΌΠ΅Π½ΠΊΠ»Π°Ρ‚ΡƒΡ€Π° Π΄Π΅ΠΉΡΡ‚Π²ΠΈΡ‚Π΅Π»ΡŒΠ½ΠΎ приносит Π΄ΠΎΡ…ΠΎΠ΄, Π° какая Ρ‚ΠΎΠ»ΡŒΠΊΠΎ Β«Π²Ρ€Π°Ρ‰Π°Π΅Ρ‚ дСньги».

πŸ’¬ Π’Ρ‹Π²ΠΎΠ΄Ρ‹

NPV ΠΈ IRR β€” это ΠΊΠ»ΡŽΡ‡Π΅Π²Ρ‹Π΅ ΠΌΠ΅Ρ‚Ρ€ΠΈΠΊΠΈ, ΠΊΠΎΡ‚ΠΎΡ€Ρ‹Π΅ ΠΏΡ€Π΅Π²Ρ€Π°Ρ‰Π°ΡŽΡ‚ Ρ‚ΠΎΡ€Π³ΠΎΠ²Π»ΡŽ Π½Π° Wildberries ΠΈΠ· Ρ…Π°ΠΎΡ‚ΠΈΡ‡Π½ΠΎΠ³ΠΎ бизнСса Π² финансово ΡƒΠΏΡ€Π°Π²Π»ΡΠ΅ΠΌΡƒΡŽ систСму.

  • NPV ΠΏΠΎΠΊΠ°Π·Ρ‹Π²Π°Π΅Ρ‚, сколько ΠΏΡ€ΠΈΠ±Ρ‹Π»ΠΈ Π²Ρ‹ ΠΏΠΎΠ»ΡƒΡ‡Π°Π΅Ρ‚Π΅ Π² ΡΠ΅Π³ΠΎΠ΄Π½ΡΡˆΠ½ΠΈΡ… Π΄Π΅Π½ΡŒΠ³Π°Ρ….
  • IRR ΠΏΠΎΠΊΠ°Π·Ρ‹Π²Π°Π΅Ρ‚, насколько Π²Ρ‹Π³ΠΎΠ΄Π½ΠΎ Π²Π»ΠΎΠΆΠ΅Π½ΠΈΠ΅ ΠΎΡ‚Π½ΠΎΡΠΈΡ‚Π΅Π»ΡŒΠ½ΠΎ Π°Π»ΡŒΡ‚Π΅Ρ€Π½Π°Ρ‚ΠΈΠ².

Π˜ΡΠΏΠΎΠ»ΡŒΠ·ΡƒΡ ΠΈΡ…, Π²Ρ‹ смоТСтС:

βœ… Ρ‚ΠΎΡ‡Π½Π΅Π΅ ΠΎΡ†Π΅Π½ΠΈΠ²Π°Ρ‚ΡŒ запуск Π½ΠΎΠ²Ρ‹Ρ… Ρ‚ΠΎΠ²Π°Ρ€ΠΎΠ²,

βœ… Π²Ρ‹Π±ΠΈΡ€Π°Ρ‚ΡŒ, ΠΊΡƒΠ΄Π° Ρ€Π΅ΠΈΠ½Π²Π΅ΡΡ‚ΠΈΡ€ΠΎΠ²Π°Ρ‚ΡŒ ΠΏΡ€ΠΈΠ±Ρ‹Π»ΡŒ,

βœ… ΠΎΡ‚ΡΠ΅ΠΈΠ²Π°Ρ‚ΡŒ ΡƒΠ±Ρ‹Ρ‚ΠΎΡ‡Π½Ρ‹Π΅ SKU,

βœ… ΠΈ ΡƒΠΏΡ€Π°Π²Π»ΡΡ‚ΡŒ бизнСсом Π½Π° основС Π΄Π°Π½Π½Ρ‹Ρ…, Π° Π½Π΅ ΠΈΠ½Ρ‚ΡƒΠΈΡ†ΠΈΠΈ.

А Π·Π½Π°Ρ‡ΠΈΡ‚ β€” ваш WB-ΠΏΡ€ΠΎΠ΅ΠΊΡ‚ Π±ΡƒΠ΄Π΅Ρ‚ расти ΠΊΠ°ΠΊ инвСстиционный ΠΏΠΎΡ€Ρ‚Ρ„Π΅Π»ΡŒ, Π° Π½Π΅ ΠΊΠ°ΠΊ случайный Π½Π°Π±ΠΎΡ€ Ρ‚ΠΎΠ²Π°Ρ€ΠΎΠ².

ΠŸΡ€ΠΎΡ‚Π΅ΡΡ‚ΠΈΡ€ΡƒΠΉΡ‚Π΅ наш бСсплатный Telegram-Π±ΠΎΡ‚ для финансовой Π°Π½Π°Π»ΠΈΡ‚ΠΈΠΊΠΈ Π½Π° Wildberries.Β 

WB Pilot Π°Π²Ρ‚ΠΎΠΌΠ°Ρ‚ΠΈΠ·ΠΈΡ€ΡƒΠ΅Ρ‚ Π·Π°Π΄Π°Ρ‡ΠΈ ΠΏΡ€ΠΎΠ΄Π°Π²Ρ†Π°:

πŸ’° Аналитика ΠΏΡ€ΠΎΠ΄Π°ΠΆ WB β€” сквозная Π°Π½Π°Π»ΠΈΡ‚ΠΈΠΊΠ° чистой ΠΏΡ€ΠΈΠ±Ρ‹Π»ΠΈ ΠΏΠΎ ΠΊΠ°ΠΆΠ΄ΠΎΠΌΡƒ Π°Ρ€Ρ‚ΠΈΠΊΡƒΠ»Ρƒ, Ρ‚ΠΎΡ‡Π½ΠΎ опрСдСляСм сколько чистой ΠΏΡ€ΠΈΠ±Ρ‹Π»ΠΈ Π² ΠΊΠ°Ρ€ΠΌΠ°Π½Π΅

✏️ МассовоС SEO β€” быстроС массовоС Ρ€Π΅Π΄Π°ΠΊΡ‚ΠΈΡ€ΠΎΠ²Π°Π½ΠΈΠ΅ всСх ΠΊΠ°Ρ€Ρ‚ΠΎΡ‡Π΅ΠΊ Ρ‚ΠΎΠ²Π°Ρ€ΠΎΠ² ΠΌΠ°Π³Π°Π·ΠΈΠ½Π°

🏷 ΠœΠ°Ρ€ΠΊΠΈΡ€ΠΎΠ²ΠΊΠ° FBS β€” ускоряСм ΠΌΠ°Ρ€ΠΊΠΈΡ€ΠΎΠ²ΠΊΡƒ поставки FBS

πŸ“¦ ΠŸΡ€ΠΎΠ³Π½ΠΎΠ· запасов β€” ΠΏΡ€ΠΎΠ³Π½ΠΎΠ·ΠΈΡ€ΠΎΠ²Π°Π½ΠΈΠ΅ ΠΈ ΠΊΠΎΠ½Ρ‚Ρ€ΠΎΠ»ΡŒ, Ρ‡Ρ‚ΠΎΠ±Ρ‹ Π½Π΅ ΠΏΠΎΠΏΠ°ΡΡ‚ΡŒ Π² out of stock

✌️ Π”ΡƒΠ±Π»ΡŒ ΠšΠ˜Π— β€” Π΄ΡƒΠ±Π»ΠΈΡ€ΠΎΠ²Π°Π½ΠΈΠ΅ ΠšΠ˜Π— ΠΈ ΠΎΡ‚ΠΏΡ€Π°Π²ΠΊΠ° Π΅Π³ΠΎ Π½Π° ΠΏΡ€ΠΈΠ½Ρ‚Π΅Ρ€ Π² 1 ΠΊΠ»ΠΈΠΊ

ΠžΡ†Π΅Π½ΠΊΠ° стоимости бизнСса Ѐинансовый Π°Π½Π°Π»ΠΈΠ· ΠΏΠΎ МБЀО Ѐинансовый Π°Π½Π°Π»ΠΈΠ· ΠΏΠΎ Π Π‘Π‘Π£
РасчСт NPV, IRR Π² Excel ΠžΡ†Π΅Π½ΠΊΠ° Π°ΠΊΡ†ΠΈΠΉ ΠΈ ΠΎΠ±Π»ΠΈΠ³Π°Ρ†ΠΈΠΉ
Амина Б.
ΠžΡ†Π΅Π½ΠΈΡ‚Π΅ Π°Π²Ρ‚ΠΎΡ€Π°
Π¨ΠΊΠΎΠ»Π° Ѐинансовой Π°Π½Π°Π»ΠΈΡ‚ΠΈΠΊΠΈ ΠΏΡ€ΠΎΠ΅ΠΊΡ‚ΠΎΠ², бизнСса