Каждый селлер на маркетплейсе сталкивается с бесконечным потоком идей товаров: новый аксессуар, трендовая одежда, сезонный гаджет. Но ресурсы ограничены: закупка, хранение, реклама — всё стоит денег. Как выбрать самые перспективные товары, чтобы не тратить капитал впустую?
Profitability Index (PI), или индекс прибыльности, — один из самых точных и одновременно простых инструментов для ранжирования проектов и товарных идей по их эффективности.
Пока не забыли! Протестируйте наш бесплатный Telegram-бот для финансовой аналитики на Wildberries — WBPilot
- Что такое Profitability Index
- Почему Profitability Index полезен селлеру
- Как рассчитать PI для товара на Wildberries
- 1. Определяем инвестиции
- 2. Прогнозируем денежные потоки
- 3. Приводим денежные потоки к текущей стоимости
- 4. Рассчитываем Profitability Index
- Практические советы для селлера
- Преимущества использования PI для маркетплейсов
- Заключение
Что такое Profitability Index
Profitability Index — это отношение приведенной стоимости будущих денежных потоков к первоначальным инвестициям:
Смысл: PI показывает, сколько рублей прибыли вы получите на каждый рубль вложений.
- PI > 1 → проект приносит больше, чем вложено;
- PI = 1 → окупается ровно;
- PI < 1 → проект убыточен, лучше отказаться.
Пример:
- Инвестиции: 100 000 руб.
- Приведенная стоимость будущих денежных потоков: 150 000 руб.
- PI = 150 000 / 100 000 = 1,5
Каждый вложенный рубль приносит 1,5 рубля — отличный результат.
Оценка стоимости бизнеса![]() |
Финансовый анализ по МСФО![]() |
Финансовый анализ по РСБУ![]() |
Расчет NPV, IRR в Excel![]() |
Оценка акций и облигаций![]() |
Почему Profitability Index полезен селлеру
- Ранжирование товарных идей. У вас есть 10 товаров, но бюджет позволяет запустить только 3. С PI вы видите, какие проекты принесут больше прибыли на вложенный рубль.
- Сравнение разных категорий. PI учитывает приведенную стоимость денег, поэтому можно сравнивать товары с разной ценой закупки и разными сроками окупаемости.
- Приоритизация инвестиций. Вместо интуиции или выбора «трендового» товара вы инвестируете туда, где экономический эффект максимален.
- Риск-ориентированное принятие решений. Если PI близок к 1, проект рискован — можно вложить меньше или искать способы увеличить прибыль.
Как рассчитать PI для товара на Wildberries
1. Определяем инвестиции
Начальные расходы включают:
- закупку товара;
- доставку на склад маркетплейса;
- упаковку и маркировку;
- рекламу на старте;
- дополнительные маркетинговые активности (скидки, промокоды).
Пример: закупка 500 единиц × 200 руб. = 100 000 руб., доставка и маркетинг 20 000 руб. → всего 120 000 руб.
2. Прогнозируем денежные потоки
Денежный поток — это выручка минус переменные расходы, по периодам (например, по месяцам).
- Продажи: 500 единиц, средняя цена 350 руб.
- Переменные расходы: закупка 200 руб., комиссия WB 15%, доставка 50 руб.
- Чистая выручка с единицы = 350 – 200 – 52,5 (15% комиссии) – 50 ≈ 47,5 руб.
- Общая чистая прибыль: 500 × 47,5 ≈ 23 750 руб.
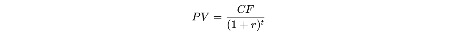
3. Приводим денежные потоки к текущей стоимости
Используем ставку дисконтирования, отражающую стоимость капитала или альтернативные вложения.
- CF — денежный поток в период t;
- r — ставка дисконтирования;
- t — номер периода.
Пример: если весь поток произойдет через 1 месяц и r = 10% годовых → почти не меняется, но для многомесячных потоков корректировка важна.
4. Рассчитываем Profitability Index
Если PV = 130 000 руб., инвестиции = 120 000 руб. → PI ≈ 1,08.
Вывод: проект окупается и приносит небольшую прибыль.
Первый открытый бесплатный Бот WBPilot, разработанный нами для селлера на WB: https://t.me/wbpilot_bot
Практические советы для селлера
- Используйте исторические данные. Для прогнозирования денежных потоков ориентируйтесь на реальные продажи похожих SKU.
- Учитывайте сезонность. Для сезонных товаров PI может сильно меняться по месяцам.
- Ранжируйте по PI, но проверяйте абсолютную прибыль. Иногда PI может быть высоким для дешевых товаров, но общая прибыль мала.
- Комбинируйте с NPV и Payback Period. PI показывает эффективность вложений, NPV — абсолютную прибыль, а Payback Period — скорость окупаемости.
- Анализируйте чувствительность. Смените цену или объем продаж ±10% и посмотрите, как изменится PI — так выявляются рисковые товары.
Преимущества использования PI для маркетплейсов
Объективный выбор между десятками идей.
Экономическая дисциплина — каждая инвестиция сравнима по отдаче.
Риск-менеджмент — низкий PI → либо корректируем стратегию, либо отказываемся.
Фокус на ROI — PI напрямую связан с возвратом на вложенный рубль.
Заключение
Profitability Index — это простой, но мощный инструмент селлера, позволяющий оценивать эффективность товарных идей и приоритизировать инвестиции с максимальной отдачей.
- PI > 1 → инвестируем;
- PI ≈ 1 → осторожно, оптимизируем затраты;
- PI < 1 → отказываемся или ищем пути улучшения.
Использование PI превращает хаотичный процесс запуска товаров в системный, экономически обоснованный подход, позволяющий максимизировать прибыль на каждый вложенный рубль и снижать финансовые риски на маркетплейсах.
Протестируйте наш бесплатный Telegram-бот для финансовой аналитики на Wildberries.
WB Pilot автоматизирует задачи продавца:
💰 Аналитика продаж WB — сквозная аналитика чистой прибыли по каждому артикулу, точно определяем сколько чистой прибыли в кармане
✏️ Массовое SEO — быстрое массовое редактирование всех карточек товаров магазина
🏷 Маркировка FBS — ускоряем маркировку поставки FBS
📦 Прогноз запасов — прогнозирование и контроль, чтобы не попасть в out of stock
✌️ Дубль КИЗ — дублирование КИЗ и отправка его на принтер в 1 клик























